Pri hľadaní inovatívnych riešení na zlepšenie medicínskej diagnostiky a terapií sa ako vhodná ukazuje oblasť supravodivosti.

Supravodiče sú materiály, ktoré vykazujú nulový elektrický odpor a vypudzujú magnetické polia, keď sú ochladené pod kritickú teplotu. Konvenčné supravodiče vyžadujú extrémne nízke teploty, často v rozsahu niekoľkých stupňov nad absolútnou nulou, dostupné pomocou kvapalného hélia, čo je ekonomicky menej výhodné.
Keramické kupráty
Objav vysokoteplotných supravodičov (High Temperature Superconductors, HTS) prelomil teplotné bariéry, keďže umožňuje supravodivé správanie sa pri teplotách dosiahnuteľných pomocou kvapalného dusíka. Medzi zaujímavé HTS patria keramické kupráty EuBCO (EuBa2Cu3Ox alebo Eu123). Jednou z najsľubnejších oblastí ich použitia je medicínske zobrazovanie, konkrétne magnetická rezonancia (MRI). Výnimočné magnetické vlastnosti EuBCO supravodičov umožňujú tvorbu silnejších a stabilnejších magnetických polí v MRI prístrojoch, čo vedie k vyššiemu rozlíšeniu a citlivosti obrazov.
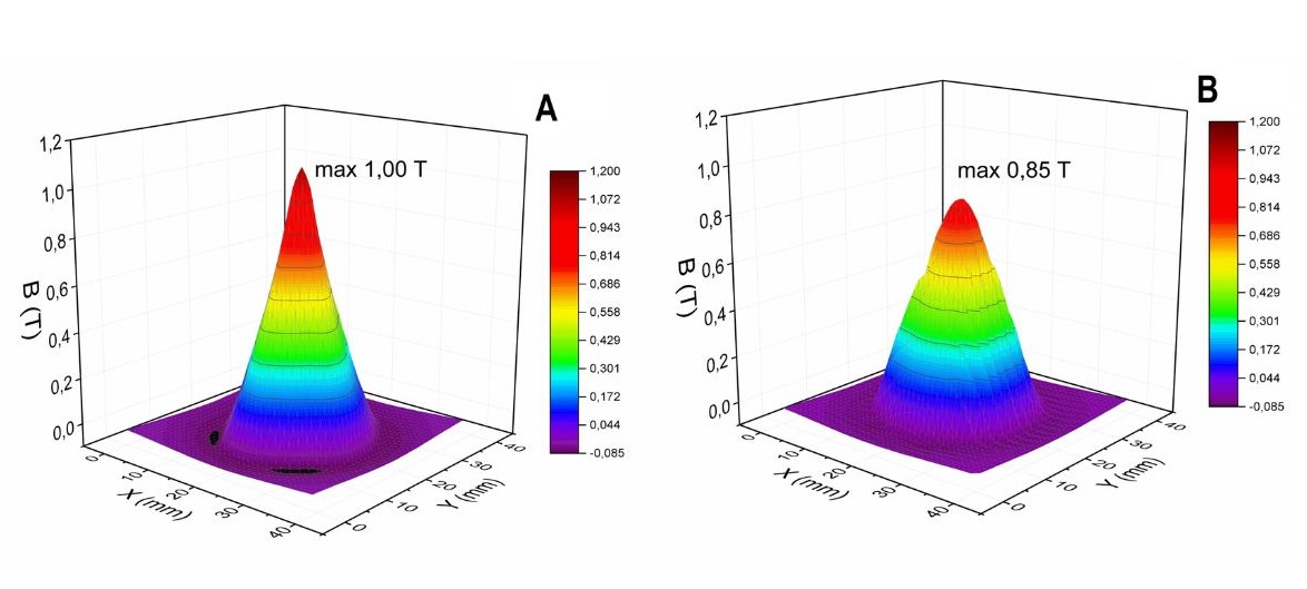
V našom výskume sme sa zamerali na porovnanie vlastností EuBCO vzorky s otvormi, ktoré boli vytvorené v pelete pred narastením kryštálu, a EuBCO bez otvorov.
Príprava materiálov

Na začiatku sa pripraví prekurzorový prášok, a to reakciou v tuhej fáze z príslušných oxidov medi, európia a uhličitanu bárnatého s prídavkom striebra za účelom zlepšenia mechanických vlastností materiálov. Bez prídavku zlúčeniny na báze striebra, prípadne iných aditív, by bolo použitie týchto materiálov v oblastiach, kde sa vyžaduje zvýšená mechanická pevnosť, ako napríklad v spomínaných medicínskych aplikáciách, značne limitované.
Potom sa prekurzorový prášok zlisuje do pelety, pričom pre vzorky s otvormi bola špeciálne vyvinutá matrica. Takéto pelety sa vkladajú do vysokoteplotnej pece. Proces prípravy zahŕňa ohriatie pelety zlisovaných práškov so zárodkom umiestneným na povrchu pelety na teplotu vyššiu, ako je peritektická teplota Eu123 fázy. Vznikne pritom zmes taveniny a tuhých častíc Eu2BaCuO5 (Eu211) fázy, ktorá si zachová tvar výlisku. Počas veľmi pomalého ochladzovania rastie masívny kryštál zo zárodku z podchladenej zmesi Eu211 častíc a taveniny.

Ktorý mal lepšie vlastnosti?
Supravodivé vlastnosti sme študovali pomocou meraní zachyteného magnetického poľa a levitačnej sily, pričom sa ukázali mierne vyššie hodnoty pre vzorky s otvormi.
Vysvetlenie poskytuje mikroštruktúra pripravených materiálov. Z hľadiska mikroštruktúry sú veľmi dôležitým parametrom ovplyvňujúcim supravodivé vlastnosti Eu211 častice. Počas rastu masívneho kryštálu sú niektoré Eu211 častice zachytené rastúcim kryštálom a predstavujú základný štruktúrny komponent na uchytávanie magnetických tokočiar, a tak prispievajú k zvýšeniu makroskopických supravodivých vlastností. Ich efekt je nepriamoúmerný ich veľkosti. Zjemnenie Eu211 častíc sa úspešne dosiahlo prídavkom nanokryštalickej zlúčeniny BaCeO3. Ukázalo sa tiež, že vo vzorke s otvormi došlo k výraznému zníženiu pórovitosti v okolí otvorov.
Dá sa predpokladať, že vzorka s nižším objemovým podielom pórov bude mať lepšie makroskopické supravodivé vlastnosti, čo sa odzrkadlilo vo vyšších nameraných hodnotách levitačnej sily a zachyteného magnetického poľa.
Mgr. Veronika Kuchárová, PhD.
Ústav experimentálnej fyziky SAV, v. v. i., v Košiciach
Upravený text a niektoré ilustrácie sú súčasťou publikácie V. Kuchárová, P. Diko, D. Volochova et al.: Microstructure and superconducting properties of bulk EuBCO-Ag with and without holes, J. Eur. Ceram. Soc., 2022, vol. 42, no. 14, p. 6533 – 6541.
Supravodiče na báze EuBCO skúmame vďaka zmluve o spolupráci s výrobcom masívnych supravodičov CAN Superconductors, s. r. o., a s podporou grantov VEGA 2/0094/22 a APVV-21-0387.
Článok vznikol v spolupráci s platformou Mladí vedci SAV.
